江府峻 教授 | 物理學系
現為物理系教授的江府峻老師畢業於國立臺灣大學物理系,服完義務兵役後,在到美國北卡萊那州杜克大學攻讀物理博士前,曾在臺大數學系短暫待了一年。2006年順利從杜克大學拿到博士學位後,2006年至2009年遠赴瑞士伯恩大學理論物理研究所擔任博士後研究。在2009年到美國麻省理工學院擔任資深博士後研究一年後,於2010年至臺師大物理系任教至今。江老師的研究興趣為強相關聯系統及機器學習在物理上的應用。

【本篇報導由物理學系 江府峻教授研究團隊提供】
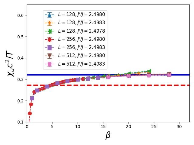
使用量子蒙地卡羅的方法,江教授計算了對於二維(2D)二聚體自旋1/2反鐵磁體的一個和量子臨界狀態相關的普適常數的數值。透過在中低溫下模擬大晶格,研究發現這個普適常數的數值約為0.32。本研究的估計偏離了相關的理論預測,但與最近其它的數值計算結果一致。
空間維度二是特別的,因為連續性的對稱性在有限溫度下是沒有自發性對稱破壞的機制的。所以對二維量子反鐵磁體而言,當溫度從零溫上升時,不會有相變,替代的是過度到一個稱為量子臨界區的特殊領域。
根據理論計算,在量子臨界區有幾個普適的物理常數,即其數值跟系統微觀的細節無關,只與系統宏觀的性質有關。其中χuc2/T這個普適常數,其理論計算結果是0.27185。
但最近的幾個蒙地卡羅模擬的結果顯示χuc2/T的值應約為0.32,而不是0.27185。
為了更深入了解理論及模擬之間的差異,江教授進行了一個大規模的量子蒙地卡羅模擬,所選的模型是一個在正方晶格上的二維之二聚化量子反鐵磁體,特別是模擬含有超過二十五萬個自旋1/2的正方晶格。研究的結果支持χuc2/T的值約為0.32(如圖一)。
從本研究的結論來看,對χuc2/T這個普適常數做進一步理論計算有助於解決理論預測及模擬結果之間的差異。

圖一: χuc2/T對溫度倒數 β 的關係式。
原文出處:
Jiang, F. J. (2023). The numerical value for a universal quantity of a two-dimensional dimerized quantum antiferromagnet. Results in Physics, 44, Article 106119. https://doi.org/10.1016/j.rinp.2022.106119
現為物理系教授的江府峻老師畢業於國立臺灣大學物理系,服完義務兵役後,在到美國北卡萊那州杜克大學攻讀物理博士前,曾在臺大數學系短暫待了一年。2006年順利從杜克大學拿到博士學位後,2006年至2009年遠赴瑞士伯恩大學理論物理研究所擔任博士後研究。在2009年到美國麻省理工學院擔任資深博士後研究一年後,於2010年至臺師大物理系任教至今。江老師的研究興趣為強相關聯系統及機器學習在物理上的應用。